4-氨基安替比林

結構式
| 物競編號 | 01tb |
|---|---|
| 分子式 | c11h13n3o |
| 分子量 | 203.24 |
| 標簽 |
1,5-二甲基-2-苯基-4-氨基-3-吡唑酮, 4-氨基-1,2-二氫-1,5-二甲基-2-苯基-3h-吡唑-3-酮, 4-氨基-2,3-二甲基-1-苯基代吡唑啉酮-[5], 4-氨基安替比林結晶, 4-氨基安替吡啉, 4-氨基安替比林, 1,5-dimethyl-2-phenyl-4-aminopyrazoline, 4-amino-2,3-dimethyl-1-phenyl-3-pyrazolin-5-one, ampyrone |
編號系統
cas號:83-07-8
mdl號:mfcd00003145
einecs號:201-452-3
rtecs號:cd2480000
brn號:181635
pubchem號:24890855
物性數據
1. 性狀:淡黃色結晶
2. 密度(g/ml,25/4℃):0.8
3. 相對蒸汽密度(g/ml,空氣=1):不確定
4. 熔點(oc):109
5. 沸點(oc,常壓):不確定
6. 沸點(oc,5.2kpa):不確定
7. 折射率:不確定
8. 閃點(oc):不確定
9. 比旋光度(o):不確定
10. 自燃點或引燃溫度(oc):不確定
11. 蒸氣壓(kpa,25oc):不確定
12. 飽和蒸氣壓(kpa,60oc):不確定
13. 燃燒熱(kj/mol):不確定
14. 臨界溫度(oc):不確定
15. 臨界壓力(kpa):不確定
16. 油水(辛醇/水)分配系數的對數值:不確定
17. 爆炸上限(%,v/v):不確定
18. 爆炸下限(%,v/v):不確定
19. 溶解性:溶于水、苯和乙醇,微溶于乙醚
毒理學數據
1、急性毒性:
大鼠口徑ld50:1700 mg/kg;大鼠腹腔ld50:1200 mg/kg
小鼠口徑lc50:800 mg/kg;小鼠腹腔lc50:270 mg/kg
2、致畸性
大腸桿菌:312 ug/well;沙門氏菌:5 umol/plate
生態學數據
暫無
分子結構數據
1、 摩爾折射率:58.10
2、 摩爾體積(cm3/mol):168.3
3、 等張比容(90.2k):442.1
4、 表面張力(dyne/cm):47.5
5、 極化率(10-24cm3):23.03
計算化學數據
1、 疏水參數計算參考值(xlogp):0.1
2、 氫鍵供體數量:1
3、 氫鍵受體數量:3
4、 可旋轉化學鍵數量:1
5、 互變異構體數量:2
6、 拓撲分子極性表面積(tpsa):49.6
7、 重原子數量: 15
8、 表面電荷:0
9、 復雜度:305
10、 同位素原子數量:0
11、 確定原子立構中心數量:0
12、 不確定原子立構中心數量:0
13、 確定化學鍵立構中心數量:0
14、 不確定化學鍵立構中心數量:0
15、 共價鍵單元數量:1
性質與穩定性
1.在堿性條件及氧化劑存在下,與酚類化合物反應生成紅色染料。
2.口服有害,對眼睛、呼吸系統及皮膚有刺激性。
貯存方法
充氬氣密封陰涼干燥避光保存。
合成方法
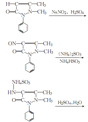
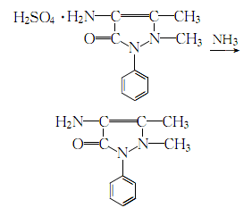
1.安替比林經亞硝酸鈉亞硝化,經亞硫酸氫銨與亞硫酸銨還原,經硫酸水解,后用液氨中和,得到4-氨基安替比林。工藝過程如下:安替比林與50%硫酸配成溶液,其中含安替比林38%-40%、含硫酸11%-12%。將此溶液與亞硝酸鈉溶液同時流入亞硝化反應器,控制兩者的流量,控制反應溫度45-50℃,攪拌下反應,并用碘粉淀粉試紙測反應終點以調節水流量。亞硝化生成的亞硝基安替比林立即流入還原罐,與罐內配好的還原劑亞硫酸氫銨與亞硫酸銨的水溶液反應。取樣測ph值及還原度,ph值在5.4-5.8之間,還原度約為15(即1ml還原液消耗0.1n碘液的毫升數)。還原結束后,ph值調節至5.8-6.0,還原度為5左右。升溫至100℃,水解3h。降溫至80℃,用液氨中和至ph7-7.5,靜置分層。分去廢水,得4-氨基安替比林油(含量80%以上)。將其壓入結晶罐,攪拌、冷卻結晶、過濾,得4-氨基安替比林。
2. 安替吡啉經亞硝化,再經亞硫酸氫銨和亞硫酸銨還原、硫酸水解,后用液氨中和可得4-氨基安替吡啉。


用途
1.用以測定醇和苯酚及胺和其同系物。色譜測定烷基苯酚。
2.用作光度法測定酚、醇、胺類有機物的顯色劑。并用作極譜法測定酚類化合物的試劑。
擴展閱讀https://www.newtopchem.com/archives/177擴展閱讀https://www.bdmaee.net/wp-content/uploads/2022/08/20.jpg擴展閱讀https://www.bdmaee.net/wp-content/uploads/2022/08/134-4.jpg擴展閱讀https://www.cyclohexylamine.net/lupragen-n203-teda-l33e/擴展閱讀https://www.cyclohexylamine.net/dabco-mp601-delayed-equilibrium-catalyst/擴展閱讀https://www.newtopchem.com/archives/40086擴展閱讀https://www.cyclohexylamine.net/category/product/page/35/擴展閱讀https://www.bdmaee.net/wp-content/uploads/2021/05/1-3.jpg擴展閱讀https://www.newtopchem.com/archives/979擴展閱讀https://www.newtopchem.com/archives/1598

